Menu
General Software Development
17 Lessons
useCallback: Hooks in Reactjs
g
13 Lessons
Understanding PUT and PATCH
m
15 Lessons
Learn about Strings in C++
e
17 Lessons
A Quick Guide to React Router DOM
j
10 Lessons
How to perform Matrix Chain Multiplication
i
14 Lessons
In-Depth Analysis of Struct in C
f
36 Lessons
Learning About Bipartite Graphs
s
18 Lessons
Understanding Copy Constructor in C++
g
15 Lessons
Quick Guide to Abstract Data Types
b
15 Lessons
Complete Walkthrough of AVL Trees
l
14 Lessons
Malloc vs Calloc - Quick Note
i
18 Lessons
Working of Jump Statements in C++
c
15 Lessons
A quick guide to Unordered Map in C++
k
15 Lessons
Working on Queue using STL
g
100 Lessons
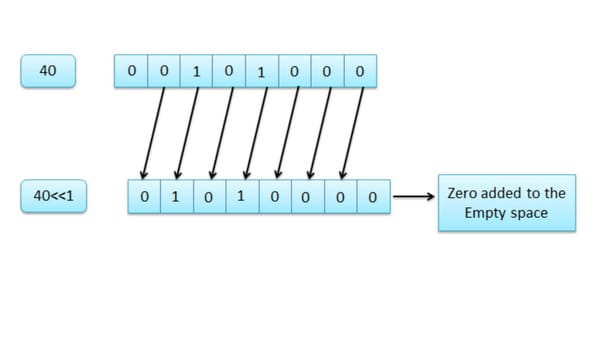
Left Shift Operator in C++
r
15 Lessons
Understanding Templates in C++
j
18 Lessons
Becoming Friends with Friend Function in C++
h
15 Lessons
Understanding Loops in C++
c
Load More Posts